- Research
- Open access
- Published:
Determination of thyroidal endocrine-disrupting chemicals (EDCs) activities using a human cell-based transactivation assay
Environmental Sciences Europe volume 34, Article number: 51 (2022)
Abstract
Background
Endocrine-disrupting chemicals (EDCs) interfere with physiological function by mimicking or blocking hormones; these chemicals enter the human body through various materials used in food packaging, among other routes. Thyroid hormones (THs) are very important hormones that control various basic physiological functions.
Results
In a previous study, we developed a TH agonist transactivation (TA) assay based on the A549 cell line. However, the assay using A549 showed some limitations, since it required 4 days to yield results and showed low sensitivity to the natural form of human triiodothyronine (T3). Therefore, in this study, we have developed a more sensitive TH TA assay based on a HeLa cell line to screen potential TH agonists. We evaluated the TH agonist activity of 17 chemicals, 5 of which showed TH agonist activity.
Conclusions
In conclusion, in comparison with the previously developed TA assay, the assay using HeLa cells provided greater accuracy, sensitivity, and specificity, yielding more detailed results for TH agonist chemicals in less time.
Background
Endocrine-disrupting chemicals (EDCs) are exogenous chemical substances that disrupt body function, e.g., by imitating or blocking hormones. EDCs may disrupt hormone systems through broader mechanisms, although they exert their actions primarily through various nuclear hormone receptors, such as estrogen receptors (ERs), androgen receptors (ARs), progesterone receptors, thyroid hormone receptors (THRs), and retinoid receptors [1].
Exposure to EDCs is complex; exposure can be from multiple sources and to several types of EDCs at the same time. Since most EDCs are lipophilic, bioaccumulation in higher organisms occurs through the food chain. They are generally not decomposed naturally, nor are they generally metabolized or decomposed into more toxic compounds than the original chemicals [1, 2]. These chemicals are an intrinsic part of our lives, and humans are exposed to EDCs through a various routes, such as food chain including food packaging and even air [1, 3, 4]. Experimental studies have shown that exposure to EDCs such as polychlorinated biphenyls (PCBs), dioxins, polybrominated flame retardants, pesticides, perfluorinated chemicals (PFCs), phthalates, bisphenol A (BPA), UV-filters, and perchlorate can disrupt thyroid function [5]. While PCBs have been shown to have adverse effects on thyroid function, studies on the other chemicals have only presented the possibility of thyroid-disrupting properties [5].
Thyroid hormones (THs) play an important role in cell proliferation and differentiation [6], growth and development [7, 8], and homeostasis [9], as well as various physiological functions, such as regulation of metabolism [10] 11. To identify potential thyroidal EDCs, it is necessary to establish test methods that can provide information regarding the potential of chemicals to interfere with aspects of the thyroid pathway, including interaction with the THR and transactivation (TA) of genes via the binding to the THR. We had previously developed an in vitro method for screening chemicals that interact with THR the based on human A549 cells [12]. However, this TH agonist transactivation (TA) assay using A549 cells required 4 days to yield results and showed a low sensitivity for endogenous T3. Therefore, we developed an agonist TH TA assay based on the human cervix adenocarcinoma HeLa cell line that showed a higher THR expression level and yielded enhanced performance.
Materials and methods
Chemicals
The reference chemicals 3,3′,5-triiodo-L-thyronine salt (T3, CASRN 55-06-1) and 7,4′-dihydroxy-6-methoxyisoflavone (glycitein, CASRN 40,957-83-3) were purchased from Sigma-Aldrich (St. Louis, USA), and 3,3′,5,5′-tetraiodo-L-thyronine (T4, CASRN 55-03-8) was purchased from Tokyo Chemical Industry (Tokyo, Japan). Other test chemicals were purchased from various commercial sources including Sigma-Aldrich (St. Louis, USA), Tokyo Chemical Industry (Tokyo, Japan), Toronto Research Chemicals (North York, Canada), and Santa Cruz Biotechnology (Dallas, USA). Table 1 presents a list of the chemicals used for the TH agonist TA assay.
Cell culture
HeLa cells (ATCC, Manassas, USA), the human cervix adenocarcinoma cell line, were maintained in growth medium consisting of minimum essential medium (MEM; Gibco, Grand Island, USA) containing 10% fetal bovine serum (FBS; Gibco, Grand Island, USA), and 100 U/mL penicillin–100 μg/mL streptomycin (Pen-Strep; Gibco, Grand Island, USA) and incubated in a 5% CO2 atmosphere at 37 °C. After transfection, the transfected HeLa cells were maintained in selection medium consisting of MEM containing 10% FBS, 1 × Pen-Strep, and 200 μg/mL Hygromycin B Gold (Invivogen, San Diego, USA).
Retrovirus harboring the TRE–secNluc–IRES–EGFP reporter cassette
A TH-responsive dual-reporter assay system was constructed using the method described previously [12]. The TH-responsive dual-reporter cassette consisted of a TRE region, a minimal 15-bp TATA box, secNluc luciferase, and IRES–EGFP. Correct construction of the TH-responsive dual-reporter cassette was confirmed by DNA sequencing [12]. To insert the TRE–secNluc–IRES–EGFP cassette into the pLPCX vector (Clontech, Mountain View, USA), the BglII–ClaI-digested PCR fragment containing the TRE–secNluc–IRES–EGFP cassette was inserted into the BglII–ClaI sites of pLPCX. The structure of the TRE–secNluc–IRES–EGFP/pLPCX was verified by DNA sequencing [12].
To produce retrovirus for gene transfer, 293GPG packaging cell lines derived from 293 T(human embryonic kidney cell line) used [13]. The 293GPG packaging cell line was cultured according to the method specified elsewhere [12]. Cells were plated at 1.0 × 105 cells/well in a 60-mm culture dish to produce the TRE–secNluc–IRES–EGFP-harboring retrovirus. When the cell confluence reached 80%, the cells were transfected with 0.8 µg of the TRE–secNluc–IRES–EGFP/pLPCX reporter using Lipofectamine® 3000 transfection reagent (Invitrogen, Carlsbad, USA) for 18 h. The medium was replaced with fresh 293GPG medium excluding tetracycline, puromycin, or G418, and the viral supernatant was then collected up to 72 h every 24 h. The supernatants were filtered using filters with a pore size of 0.45 µm (Thermo Fisher Scientific, Waltham, USA) and stored at − 80 °C.
Stably transfected HeLa cell line
HeLa cells were plated at 5.0 × 104 cells/well in a 12-well culture plate with growth medium and incubated at 24 h. The next step involved treating the HeLa cells with 500 µL per well of stored retrovirus for 18 h to allow transfection of the TRE–secNluc–IRES–EGFP construct. After 18 h, the growth medium was replaced with fresh growth medium without hygromycin B Gold for stabilization of the transfected HeLa cells and incubated for 6 h. The transfected HeLa cells were transferred to a 100-mm culture dish for pre-selection and incubated for 24 h.
The growth medium was removed, and the cells were maintained with the selection medium, which is consisted of the growth medium with 200 μg/mL hygromycin B Gold, for 4 days. During the four days of incubation, the selection medium was replaced with the fresh selection medium on the 48 h, the cells were split at 1/30 ratio with fresh selection medium on day four to separate into single cells. When the separated cells were maintained for 48 h, the single colonies harvested using a cloning cylinder (Corning, Glendale, USA) and transferred to a 12-well plate, respectively. The single colonies were incubated in a 5% CO2 atmosphere at 37℃ for 11 days. The selection medium was replaced by fresh selection medium every 2 days. The isolated cells in the 12-well plate were split at a 1/3 ratio in three 12-well plates to confirm T3 (100 nM)-mediated EGFP expression and for maintenance. For use in the TA assay, one clone was selected out of isolated 12 single clones by confirmation of T3-madiated EGFP expression based on microscopic examination.
Transactivation assay
The stable cell line was maintained in a culture medium containing 200 μg/mL hygromycin B Gold. For the assay, stably transfected HeLa cells were seeded into 96-well white cell culture microplates (Corning, Glendale, USA) (5.0 × 103 cells/well). The assay medium was MEM without phenol red and L-glutamine (Gibco, Grand Island, USA) including 10% dextran-coated charcoal-treated FBS (DCC–FBS) with 100 U/mL penicillin–100 µg/mL streptomycin, 2 mM L-glutamine (Gibco, Grand Island, USA), and 200 µg/mL hygromycin B, and incubated in a 5% CO2 atmosphere at 37 ℃ for 24 h. The cells were treated with the test chemicals (Table 1) by replacing the assay medium containing intended concentration of chemicals.
A 7-point tenfold serial dilution of the chemical was triplicated for each concentration and evaluated in the TA assay. The test chemicals were diluted with the assay medium containing 10 pM 9-cis-retinoic acid (9cRA). Vehicle and positive control (VC and PC) samples were obtained by adding 0.1% DMSO to assay medium containing 10 pM 9cRA and 100 nM T3 to assay medium containing 10 pM 9cRA, respectively. After 48 h of chemical treatment, Luciferase activities were measured using the Nano-Glo® Luciferase Assay System (Promega, Madison, USA).
Data acquisition and statistical analyses.
The luminescence was determined at 495–505 nm using a GloMax® Discover Microplate Reader (Promega, Madison, USA). The average value for the positive control (PC, 100 nM T3) was calculated as the ratio to the vehicle control (VC, 0.1% DMSO).
The agonistic activity was calculated from RLU units as follows:
The induction-fold corresponding to the PC10 value (the concentration of chemical estimated to cause 10% activity of the positive control response) should be greater than 1 ± 2 standard deviations (SDs) of the induction-fold value (= 1) for the corresponding VC [14].
Results and discussion
Confirmation of T3-mediated EGFP and secNluc luciferase gene expression in stabilized HeLa cells with the transfected dual-reporter system
A retrovirus harboring the TRE–secNLuc–IRES–EGFP reporter cassette was used to transfect the TH-responsive dual-reporter system into the HeLa cell line. We treated each clone with 100 nM T3 and evaluated T3-mediated EGFP expression to select HeLa cells transfected with TH-responsive dual-reporter system. The T3-mediated EGFP expression in HeLa cells was induced by treatment with 100 nM T3. These results established that the TH-responsive dual-reporter system in HeLa cells was controlled by T3 (Fig. 1).
To evaluate TH agonistic properties of the test chemicals, we measured the T3-mediated secNluc luciferase gene expression. The HeLa cells were treated with T3 in a dose-dependent manner at seven concentrations (each concentration diluted twofold, from 10–5 to 10–11 M) to evaluate the effect of T3 on TRE-induced secNluc luciferase gene expression. As the concentration of T3 increased, secNluc luciferase activity increased in a dose-dependent manner compared to the activity of vehicle control. The increase ratio of secNluc luciferase activity with 100 nM T3 was consistently sixfold or higher compared to the vehicle control (Fig. 2). The mean value of log [EC10 (M)] was − 9.84 and that of log [EC50 (M)] was − 8.71. In the “Rat pituitary tumor cell (GH3) reporter gene assay” in OECD GD 207 ‘Ranking Parameter Analysis’ of TR transactivation, the log [EC10 (M)] and log [EC50 (M)] values induced by T3 were − 11 and − 10, respectively [15]. These results suggested that stabilized HeLa cell line transfected with a thyroid-responsive dual-reporter system have enough accuracy suitable for use to TH agonist transactivation assays. The stably transfected A549 cells required incubation for 72 h after T3 treatment until sufficient amounts of luciferase were secreted in the supernatant [12]. In contrast, the stably transfected HeLa cells required incubation for only 48 h after T3 treatment until sufficient amounts of luciferase were secreted in the supernatant (Additional file 1). Thus, the TH agonist TA assay using stably transfected HeLa cells required less time for measurement of luminescence than the assay using A549 cells. This advantage suggests that the assay with HeLa cells offers more efficiency than that of using A549 cells.
Transactivation assay with potential TH agonistic chemicals
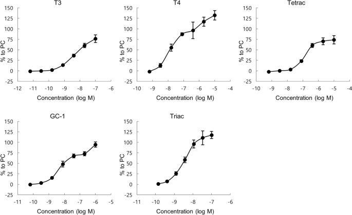
To evaluate the developed TA assay, 17 chemicals were selected for testing their potential TH agonistic activity based on the OECD GD 207 [16]. Five of these 17 chemicals (T3, T4, Triac, Tetrac, GC-1) showed TH agonist activity based on the log [EC10 (M)] and log [EC50 (M)] values and showed the same results as GD 207 (Fig. 3). The mean values of log [EC10 (M)] and log [EC50 (M)], the standard deviation of triplication, and the coefficient of variation (%CV) are summarized in Table 2.
T3 and T4 are the major forms of human TH. Although T4 is secreted in relatively higher amounts than T3 in the human body, the TH agonist TA activity of T3 was higher than that of T4, because the binding affinity of T3 to TR is tenfold higher than that of T4 and because T3 primarily plays the role of a transcription ligand [17]. Other chemicals that showed TH agonist TA-positive activity (Triac, Tetrac, and GC-1) show structural similarities as natural TH derivatives. Thus, Triac, Tetrac, and GC-1 showed relatively weak TH agonist TA activity. Triac and Tetrac have structural similarities in common to natural TH and are well known in previous studies to have TH agonist activity [18,19,20]. In addition, GC-1 is well known as a selective thyromimetic compound, which is a synthetic structural analogs of TH [21]. In that respect, these results showed sensitivity for screening TH agonist compounds. We also measured %CV for triplicates was measured to confirm the accuracy and repeatability of the assessments. Very low %CV values were obtained, suggesting good reproducibility of the TH agonist TA assay using stably transfected HeLa cells. Furthermore, the 5 positive chemicals were further tested with additional concentrations to provide more detailed data (Fig. 4). The mean values of log [EC10 (M)] and log [EC50 (M)], the standard deviation, and %CV of triplication are summarized in Table 3. Similar to the tests for the 17 chemicals, the %CV values of 5 selected chemicals were very low values. These results indicate that the TH agonist TA assay using stably transfected HeLa cells developed in this study showed very high reproducibility for screening potential TH agonistic chemicals. Furthermore, in a comparison of the dose-dependent responses of each positive chemical in the TH agonist TA assays using A549 and HeLa cells, the TH agonist TA assay using HeLa showed higher induction levels than the assay using A549 cells at all concentration. Higher level of induction indicates that the stably transfected HeLa cells had more THR responding to T3 and chemicals mimicking thyroid hormones than the A549 cell lines. These results indicated that the TH TA assay using HeLa could provide more efficiency in terms of thyroid TA activity information of test chemicals than the TH agonist TA assay using A549 cells. Moreover, the TH agonist TA assay using A549 cells required 4 days to yield results, which is a relatively long time for high-throughput screening. In establishing a new assay method, the reduction of the experimental time is of great significance in that not only reduce costs but also allow more test substances being tested in shorter time. Therefore, we developed the TH TA assay using HeLa cells, which redressed some of the limitations of the test method using A549. The TH agonist TA assay using HeLa cells could provide accuracy, sensitivity, and specificity.
With the increasing risks associated with EDCs, the development of appropriate test methods for management and assessment of these EDCs has become important. This is especially pertinent, because the thyroid hormone is involved in energy metabolism and homeostasis, necessitating the development of practical test methods to assess EDCs that disrupt thyroid hormones. The TH TA assay in this study was suitable for assessment and analysis of EDCs that mimic TH in the human body because of the use of the using human HeLa cell line.
Conclusions
We developed a TH TA assay based upon HeLa cells with a TRE–secNluc–IRES–EGFP reporter. The TH TA assay using HeLa cells showed improved performance for screening of potential TH agonistic chemicals Compared to the TH agonist TA assay using stably transfected A549 cells from the previous study. The TH TA assay using stably transfected HeLa cells developed in this study provided more sensitive results in comprehensive testing, yielded faster results. Therefore, the developed TH agonist TA assay using HeLa cells can be used as a plausible method detecting thyroid agonistic chemicals.
Availability of data and materials
The data sets generated during and/or analyzed during the current study are available from the corresponding author on reasonable request.
Abbreviations
- EGFP:
-
Enhanced green fluorescent protein
- GD:
-
Guidance Document
- RCB:
-
Polychlorinated biphenyl
- PFC:
-
Perfluorinated chemical
- BPA:
-
Bisphenol A
- T3:
-
3,3′,5-Triiodo-L-thyronine salt
- glycitein:
-
7,4′-Dihydroxy-6-methoxyisoflavone
- IRES:
-
Internal ribosome entry site
- T3:
-
Triiodothyronine
- T4:
-
3,3′,5,5′-Tetraiodo-l-thyronine
- TRE:
-
T3 response element;
- sNluc:
-
Secreted Nanoluc luciferase
References
Diamanti-Kandarakis E, Bourguignon JP, Giudice LC et al (2009) Endocrine-disrupting chemicals: an endocrine society scientific statement. Endocr Rev 30:293–342. https://doi.org/10.1210/er.2009-0002
Lauretta R, Sansone A, Sansone M et al (2019) Endocrine disrupting chemicals: effects on endocrine glands. Front Endocrinol (Lausanne) 10:1–7. https://doi.org/10.3389/fendo.2019.00178
Kabir ER, Rahman MS, Rahman I (2015) A review on endocrine disruptors and their possible impacts on human health. Environ Toxicol Pharmacol 40:241–258. https://doi.org/10.1016/j.etap.2015.06.009
Muncke J (2009) Exposure to endocrine disrupting compounds via the food chain: is packaging a relevant source? Sci Total Environ 407:4549–4559. https://doi.org/10.1016/j.scitotenv.2009.05.006
Boas M, Feldt-Rasmussen U, Main KM (2012) Thyroid effects of endocrine disrupting chemicals. Mol Cell Endocrinol 355:240–248. https://doi.org/10.1016/j.mce.2011.09.005
Pascual A, Aranda A (2013) Thyroid hormone receptors, cell growth and differentiation. Biochim Biophys Acta 1830:3908–3916. https://doi.org/10.1016/j.bbagen.2012.03.012
Bernal J (2007) Thyroid hormone receptors in brain development and function. Nat Clin Pract Endocrinol Metab. https://doi.org/10.1038/ncpendmet0424
Horn S, Heuer H (2010) Thyroid hormone action during brain development: more questions than answers. Mol Cell Endocrinol 315:19–26. https://doi.org/10.1016/j.mce.2009.09.008
Warner A, Mittag J (2012) Thyroid hormone and the central control of homeostasis. J Mol Endocrinol 49:29–35. https://doi.org/10.1530/JME-12-0068
Cheng SY, Leonard JL, Davis PJ (2010) Molecular aspects of thyroid hormone actions. Endocr Rev 31:139–170. https://doi.org/10.1210/er.2009-0007
Yen PM (2001) Physiological and molecular basis of Thyroid hormone action. Physiol Rev 81:1097–1142. https://doi.org/10.1152/physrev.2001.81.3.1097
Lee SH, Seo H, Lee HS, Park Y (2020) Development and characterization of a human cell line-based transactivation assay to assess thyroid EDCs. Environ Res 182:109110. https://doi.org/10.1016/j.envres.2020.109110
Ory DS, Neugeboren BA, Mulligan RC (1996) A stable human-derived packaging cell line for production of high titer retrovirus/vesicular stomatitis virus G pseudotypes. Proc Natl Acad Sci U S A 93:11400–11406. https://doi.org/10.1073/pnas.93.21.11400
Lee HS, Lee SH, Park Y (2019) Enhancement of androgen transcriptional activation assay based on genome edited glucocorticoid knock out human prostate cancer cell line. Environ Res 171:437–443. https://doi.org/10.1016/j.envres.2019.01.027
Freitas J, Cano P, Craig-Veit C et al (2011) Detection of thyroid hormone receptor disruptors by a novel stable in vitro reporter gene assay. Toxicol Vitr 25:257–266. https://doi.org/10.1016/j.tiv.2010.08.013
OECD (2014) New scoping document on in vitro and ex vivo assays for the identification of modulators of thyroid hormone signalling. OECD Publishing
Oetting A, Yen PM (2007) New insights into thyroid hormone action. Best Pract Res Clin Endocrinol Metab 21:193–208. https://doi.org/10.1016/j.beem.2007.04.004
Cheek AO, Kow K, Chen J, McLachlan JA (1999) Potential mechanisms of thyroid disruption in humans: interaction of organochlorine compounds with thyroid receptor, transthyretin, and thyroid-binding globulin. Environ Health Perspect 107:273–278. https://doi.org/10.1289/ehp.99107273
Gutleb AC, Meerts IATM, Bergsma JH et al (2005) T-Screen as a tool to identify thyroid hormone receptor active compounds. Environ Toxicol Pharmacol 19:231–238. https://doi.org/10.1016/j.etap.2004.06.003
Halpern J, Hinkle PM (1984) Characterization of thyroid hormone stimulation of uridine uptake by rat pituitary tumor cells. Endocrinology 115:95–101. https://doi.org/10.1210/ENDO-115-1-95
Scanlan TS, Yoshihara HA, Nguyen NH, Chiellini G (2001) Selective thyromimetics: tissue-selective thyroid hormone analogs. Curr Opin drug Discov & Dev 4:614–622
Acknowledgements
This research was supported by a grant (16162MFDS119) from the Ministry of Food and Drug Safety.
Funding
This research was supported by a grant (16162MFDS119) from Ministry of Food and Drug Safety in 2019.
Author information
Authors and Affiliations
Contributions
HS and SHL: Methodology, Formal analysis, Investigation, Writing—original draft HSL: Data curation, Validation CW: Writing—review and editing YP: conceptualization, supervision, project administration, funding acquisition, writing—review and editing. All authors read and approved the final manuscript.
Corresponding authors
Ethics declarations
Ethics approval and consent to participate
Not applicable.
Consent to participate
Not applicable.
Competing interests
All authors certify that they have no affiliations with or involvement in any organization or entity with any financial interest or non-financial interest in the subject matter or materials discussed in this manuscript.
Additional information
Publisher's Note
Springer Nature remains neutral with regard to jurisdictional claims in published maps and institutional affiliations.
Supplementary Information
Additional file 1: Table 1.
Summary of the PCR conditions used to construct the TRE-secNluc-EGFP reporter cassette.
Rights and permissions
Open Access This article is licensed under a Creative Commons Attribution 4.0 International License, which permits use, sharing, adaptation, distribution and reproduction in any medium or format, as long as you give appropriate credit to the original author(s) and the source, provide a link to the Creative Commons licence, and indicate if changes were made. The images or other third party material in this article are included in the article's Creative Commons licence, unless indicated otherwise in a credit line to the material. If material is not included in the article's Creative Commons licence and your intended use is not permitted by statutory regulation or exceeds the permitted use, you will need to obtain permission directly from the copyright holder. To view a copy of this licence, visit http://creativecommons.org/licenses/by/4.0/.
About this article
Cite this article
Lee, SH., Seo, H., Byrd, N. et al. Determination of thyroidal endocrine-disrupting chemicals (EDCs) activities using a human cell-based transactivation assay. Environ Sci Eur 34, 51 (2022). https://doi.org/10.1186/s12302-022-00628-w
Received:
Accepted:
Published:
DOI: https://doi.org/10.1186/s12302-022-00628-w



