- Commentary
- Open access
- Published:
Environmental quality standards for diclofenac derived under the European water framework directive: 2. Avian secondary poisoning
Environmental Sciences Europe volume 34, Article number: 28 (2022)
Abstract
Diclofenac is a nonsteroidal anti-inflammatory human and veterinary medicine widely detected in European surface waters, especially downstream from Wastewater Treatment Plants. With some notable exceptions, veterinary uses of diclofenac in Europe are greatly restricted, so wastewater is the key Europe-wide exposure route for wildlife that may be exposed via the aquatic environment. Proposed Environmental Quality Standards (EQS) which include an assessment of avian exposure from secondary poisoning are under consideration by the European Commission (EC) to support the aims of the Water Framework Directive (WFD). In this paper we summarise information on avian toxicity plus laboratory and field evidence on diclofenac bioaccumulation and bioconcentration in avian food items. A safe diclofenac threshold value for birds of 3 μg kg−1 wet weight in food was previously derived by the European Medicines Agency and should be adopted as an EQS under the WFD to maintain consistency across European regulations. This value is also consistent with values of 1.16–3.99 µg kg−1diet proposed by the EC under the WFD. Water-based EQS of 5.4 or 230 ng L−1 in freshwater are derived from these dietary standards, respectively, by the EC and by us, with the large difference caused primarily by use of different values for bioaccumulation. A simple assessment of potential water-based EQS compliance is performed for both of these latter values against reported diclofenac concentrations in samples collected from European freshwaters. This shows that exceedances of the EC-derived EQS would be very widespread across Europe while exceedances of the EQS derived by us are confined to a relatively small number of sites in only some Member States. Since there is no evidence for any declines in European waterbird populations associated with diclofenac exposure we recommend use of conservative EQS of 3 µg kg−1diet or 230 ng L−1 in water to protect birds from diclofenac secondary poisoning through the food chain.
Background
The European Water Framework Directive (WFD; 2000/60/EC) aims to restore all waters to ‘good’ status as judged by a range of physical, biological, and chemical metrics. One of the chemical metrics used to meet this aim is compliance with Environmental Quality Standards (EQS) derived for chemicals that are potential Europe-wide risks. These risks are assessed by comparing measured chemical exposures in surface water, sediment, drinking water, or biota against an EQS for that specific matrix. The EQS is derived from toxicity data to protect different receptor groups, including aquatic organisms; humans via drinking water or dietary exposure (e.g., by eating fish or shellfish); and higher predators such as piscivorous fish, mammals, and birds as a result of secondary poisoning via food chain transfer. The lowest numerical value (i.e. the most sensitive value for any receptor group) is then selected as the primary EQS for that substance.
Diclofenac is a nonsteroidal anti-inflammatory human and veterinary medicine widely detected in European surface waters, with wastewater treatment discharges identified as the major source [4]. Veterinary use of diclofenac in Europe is now highly restricted following an assessment that identified potential risks to European vulture populations through consumption of diclofenac-dosed domestic animal carcasses [15]. There may be locally important exposures of vulture populations, where veterinary diclofenac use is still authorised, but these exposures will generally be via medicated carcases to soils and are, therefore, less relevant under the Water Framework Directive. The predominant environmental exposure route to diclofenac in Europe is, therefore, now via surface waters downstream from Wastewater Treatment Plants (WWTPs).
European technical guidance is available to derive an EQS for the protection of wildlife from secondary poisoning through food chain transfer of a chemical [13]. The transfer of a substance from the water to organisms and through the food chain occurs as a result of bioconcentration or bioaccumulation mechanisms, termed the BioConcentration Factor (BCF) or BioAccumulation Factor (BAF), and between prey and predators by biomagnification, termed the BioMagnification Factor (BMF). The technical guidance defines the freshwater ecosystem food chain as: water → (BCF or BAF) → aquatic organisms (e.g., invertebrates) → (BMF) → fish → (BMF) → fish-eating predators. An EQS to protect birds against exposure to diclofenac via secondary poisoning of 5.4 ng L−1 in surface waters has been proposed by the European Commission [14]. However, an EQS set at this level would be failed by a very large number of European surface waters despite no evidence for population decreases related to diclofenac exposure of waterbirds that feed on fish or aquatic invertebrates (https://www.bto.org/our-science/publications/birdtrends). It is, therefore, important to investigate potential sources of over-conservatism in the derivation of the proposed EQS.
The present study reviews the available evidence for the derivation of an EQS for the protection of predators from secondary poisoning due to the consumption of food contaminated by diclofenac in surface waters and compares this to information on exposure to diclofenac in European surface waters to evaluate the potential scale of the risks posed by diclofenac use in Europe via this route. Where the potential for risks from secondary poisoning due to diclofenac exposures exists we suggest an approach to evaluate the true scale of any problem. In a companion paper Leverett et al. [29] provide an assessment of EC [14] EQS for aquatic organisms exposed to diclofenac and derive an alternative value. In this paper we provide a similar assessment of the proposed EC [14] secondary poisoning EQS and also derive an alternative EQS.
Avian toxicity of diclofenac
Acute lethal toxicity
The critical data set for diclofenac toxicity to sensitive bird species is Oaks et al. [45]. In this study Oriental white-backed vultures (Gyps bengalensis) were exposed to diclofenac via either oral dosing or by feeding on meat from buffalo or goats injected with diclofenac. In the oral dosing study two juvenile vultures were provided with a single dose of 2.5 mg kg−1 and two more with a single oral dose of 0.25 mg kg−1. Both of the high-dose and one of the low-dose vultures died through renal failure and visceral gout 36–58 h after administration, and all three birds displayed the same microscopic renal lesions found in field cases of vulture carcasses examined by the same authors. These lesions were characterised by a panel of three veterinary pathologists as:
“Severe renal tubular necrosis with marked urate precipitation usually without giant cell or granulomatous response. Regions of proximal convoluted tubules that were not necrotic had swollen epithelial cells with very large nuclei, prominent nucleoli, and granular cytoplasm. Inflammation was not associated with this necrotizing process. There was no evidence of tubular epithelial regeneration. Cellular casts were present in the lumen of some tubules including collecting tubules. Although the cells of Bowman’s capsule were prominent, the glomeruli appear to be spared. There was also sparing of the distal convoluted tubules and collecting tubules in most cases. Oxalate crystals in the kidneys, indicating ethylene glycol toxicity, were not observed.”
Plasma samples taken from one high-dose and one low-dose vulture in this study showed hyperuricaemia after 24 h (775 and 654 mg L−1 uric acid, respectively compared to normal levels of ~ 100 mg L−1 [43]). However, the surviving low-dose vulture remained clinically normal 4 weeks after administration and had no microscopic renal lesions or detectable diclofenac residues at necropsy.
Oaks et al. [45] then fed 20 more G. bengalensis juveniles either buffalo or goat meat that contained diclofenac injected into these mammals before slaughter. They calculated on the basis of food consumption that eight vultures received doses of 0.005–0.3 mg kg−1 body weight (lower dose), two vultures received doses of 0.5–0.6 mg kg−1 body weight (middle dose), and 10 vultures received doses of 0.8–1.0 mg kg−1 body weight (higher dose). These data are summarised in Table 1 and below.
-
Lower dose (0.005–0.3 mg kg−1 body weight). Two of the vultures in the low dose group died from renal failure at 4 and 6 days after exposure. A necropsy carried out on one surviving and clinically normal vulture in this group 8 days after exposure showed that it did not have any renal lesions or detectable diclofenac residues. The other five surviving vultures in this low dose group remained clinically normal at approximately 6 months after exposure.
-
Middle dose (0.5–0.6 mg kg−1 body weight). One of these vultures died from renal failure 1 day after exposure. The other surviving and clinically normal vulture had a necropsy performed on it at 8 days after exposure and did not have any renal lesions.
-
Higher dose (0.8–1 mg kg−1 body weight). All ten of these vultures died from renal failure and, like the other three vultures that died from renal failure in the other two groups, had the same histopathological renal lesions as the four vultures that were exposed orally to 0.25 or 2.5 mg kg−1 body weight diclofenac, and the field cases with visceral gout also examined by the authors.
Swan et al. [55] used the Oaks et al. [45] data to estimate the median lethal dose (LD50) of diclofenac to G. bengalensis using a maximum-likelihood probit method. They identified Case 11 (see Table 1) as a potential outlier so analysed the data both with and without this bird. The estimated LD50 was 0.098 mg kg−1 vulture body weight (95% CI 0.027–0.351 mg kg−1) when the Case 11 outlier was included in the analysis and 0.225 mg kg−1 (95% CI 0.117–0.432 mg kg−1) when it was excluded.
Green et al. [19] also used the Oaks et al. [45] data set and maximum-likelihood probit analysis to estimate the LD50 of diclofenac to G. bengalensis with and without the Case 11 outlier and calculated confidence limits using a Monte Carlo procedure. The estimated LD50 was almost indistinguishable from that calculated by Swan et al. [55] at 0.098 mg kg−1 vulture body weight (95% CI 0.028–0.337 mg kg−1) when the outlier was included in the analysis and 0.225 mg/kg (95% CI 0.119–0.423 mg/kg) when it was excluded. These similarities between the reanalyses by Swan et al. [55] and Green et al. [19] are unsurprising, because both groups used essentially the same statistical technique on the same data. EMA [15] report an LD10 of 0.074 mg kg−1, an LD5 of 0.054, and an LD1 of 0.03 mg kg−1 vulture body weight based on the data reported by Green et al. [19].
Swan et al. [55] and Naidoo et al. [43] provide some additional toxicity data for three further Gyps vulture species. Two African white-backed vultures (G. africanus) and three European griffon vultures (G. fulvus) were dosed once by oral gavage with 0.8 mg diclofenac kg−1 vulture body weight [55]. Injured, non-releasable birds were selected for the trials and fasted for 2–3 days prior to treatment to ensure that their crops were empty and that they would not regurgitate when dosed. These vultures were then fed on uncontaminated food 4 h after treatment and daily thereafter until death. All five diclofenac-treated vultures died within 2 days of treatment. At 24 h post-treatment four diclofenac-treated birds were lethargic, with death occurring 39 and 42 h post-treatment in G. africanus and after 28 and 35 h in G. fulvus (the third G. fulvus individual showed no signs of toxicity until it was found dead 48 h after treatment). Post mortem examination revealed extensive visceral gout in all diclofenac-treated birds, with significant lesions in the kidneys, liver, and spleen and extensive uric acid crystal deposition. Hyperuricaemia after 24 h was found in all individuals (G. africanus: ~ 700–1650 mg uric acid L−1 plasma; G. fulvus: ~ 275–500 mg L−1; read from Fig. 1a in Swan et al. [55].
In another experiment Naidoo et al. [43] intravenously dosed two adult Cape griffon vultures (G. coprotheres) with diclofenac at 0.8 mg kg−1 vulture body weight. Both vultures died within 48 h and the authors reported findings that were almost identical to those reported by Swan et al. [55].
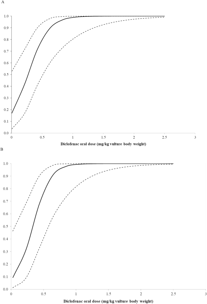
All Gyps vulture data from the four species and 31 individuals dosed with diclofenac by Oaks et al. [45], Swan et al. [55], and Naidoo et al. [43] were combined and analysed by us using logistic regression (RegressItLogistic 2020, Robert Nau, Duke University). The results of this are plotted in Fig. 1 both with and without the Case 11 outlier identified by Swan et al. [55] and Green et al. [19]. When all data are plotted the LD50 is approximately 0.27 mg kg−1 with the outlier and approximately 0.33 mg kg−1 when the outlier is excluded.
In contrast to the sensitivity of Gyps vultures, Rattner et al. [50] showed that turkey vultures (Cathartes aura) were much less acutely sensitive to diclofenac, with no adverse effects up to and including a single dose of 25 mg kg−1 vulture body weight. Lower levels of acute toxicity were also found in chicken (Gallus gallus; [23, 42, 49]), rock pigeon (Columba livia; [23]), Japanese quail (Coturnix japonica; [23]) and common mynah (Acridotheres tristis; [23]). However, Sharma et al. [54] found gout in two steppe eagle (Aquila nipalensis) carcasses, with diclofenac residues measured in kidney tissue from the one sampled eagle comparable with those found in kidney and liver tissues of wild Gyps vultures found dead with extensive visceral gout in the Oaks et al. [45] study.
In a survey of 31 veterinarians and institutions Cuthbert et al. [8] received information on over 870 cases of non-steroidal anti-inflammatory drug treatment for 79 species of birds including Gyps vultures, other raptors, storks, cranes, owls, and crows. There were no further data for diclofenac poisoning beyond those in Oaks et al. [45] and Swan et al. [55], so this survey provides no additional information on the toxicity of diclofenac to birds other than Gyps vultures.
Recent studies suggest that differences in toxicity between different bird species may be partly due to differences in the ability to metabolise diclofenac (e.g., [24]. Hassan et al. [20] investigated the toxicity of a single dose of diclofenac to the Japanese quail (Coturnix japonica), Muscovy duck (Cairina moschata), and domestic pigeon (Columba livia domestica), with observations made over the following 15 days. Clinical pathology was only assessed in Muscovy ducks. LD50 values were estimated as 405 mg kg−1 for quail, and 190 mg kg−1 for Muscovy duck. Mortality was not observed for pigeons. An important aspect of the study was monitoring of the concentrations of diclofenac in the plasma of treated birds and this revealed that quails which survived had much shorter half-lives of diclofenac than quails which died during the study, although Muscovy ducks all had very similar half-lives of diclofenac regardless of whether or not they survived. The authors concluded that much more rapid removal rates for diclofenac in the tested species due to more rapid restoration of renal function resulted in much lower sensitivity compared to Gyps vultures, and that the high sensitivity of vultures is likely to be due to species-specific effects related to metabolism. Gyps vultures are, therefore, likely to represent extreme sensitivity to diclofenac and are a reasonable worst case for the sensitivity of all bird species.
In summary, after exposure to diclofenac via food or oral dosing Gyps vultures are by far the most sensitive avian species recorded, with an LD50 of between approximately 0.1 to 0.3 mg kg−1 and an LD10 of approximately 0.07 mg kg−1 vulture body weight. The effects of diclofenac on Gyps vultures are acute and lethal and occur above a threshold dose that appears to be in the region of approximately 0.03 mg kg−1 vulture body weight. The only exception to this is the Case 11 outlier in Oaks et al. [45] reported to be dosed at 0.007 mg kg−1, although diclofenac residues found in the kidney of this vulture (0.38 µg g−1) were similar to those found in vultures receiving doses two orders of magnitude higher than reported for this bird. The uric acid concentration for vulture Case 11 is also reported as below 100 mg L−1 (i.e. within the normal range), while the uric acid concentration in vulture Case B, which reportedly survived exposure to 0.6 mg kg−1 diclofenac, was much higher (approximately 800 mg kg−1) and within the range at which other diclofenac-exposed vultures died of renal failure. However, when necropsied at day 8 vulture Case B did not have any renal lesions or detectable diclofenac residues. It is, therefore, possible that samples from Cases 11 and B were misallocated in the test laboratory. A logistic regression run on the assumption that vulture Case 11 exposed to 0.007 mg kg−1 had in fact survived and vulture Case B exposed to 0.6 mg kg−1 had died produces an LD50 estimate of approximately 0.26 mg kg−1, which does not differ substantially from estimates without this assumption. Any confusion between these two cases, therefore, has only a minor effect on the summary toxicity value used to derive an avian secondary poisoning EQS.
Chronic sublethal toxicity
No chronic avian dietary studies with any species have been reported for diclofenac. This may be because standard avian test species are relatively acutely insensitive to this substance and protocols for longer term tests with (often endangered) vulture species are neither available nor desirable. However, enough is now known about the toxic effects of diclofenac in Gyps vultures to estimate a safe level for long term exposure of these and similarly sensitive birds.
Diclofenac is known to be nephrotoxic at higher doses in humans [21] and birds [48], so it is unsurprising to find that the kidney and its supporting vascular system is the site of toxicity in Gyps vultures [37, 45, 55], with acute renal failure diagnosed as the cause of vulture deaths [45]. Naidoo and Swan [41] concluded that diclofenac interferes with uric acid transport in the kidney, thereby depriving kidney cells of an important antioxidant. The greater sensitivity of vultures is explained by the greater half-life of diclofenac in these birds when compared with other bird species (t1/2 of 2 and 14 h in the chicken and vulture, respectively), and how this relates to the production of reactive oxygen species (ROS). In their study, Naidoo and Swan [41] found that increased ROS production only occurred after internal exposure to diclofenac for more than 12 h. Therefore, in vultures the loss of an intracellular antioxidant combined with additional ROS production leads to greater oxidative stress in renal tubular epithelial cells than occurs in other bird species exposed to diclofenac, and it is this that leads to renal failure and death. For birds with visceral gout ROS production leads to renal tubular damage which reduces uric acid excretion and then leads to the deposition of urate crystals that further damage the kidney, so obstructive uropathy, therefore, likely contributes to mortality.
Secondary poisoning EQS derivation
The EC [14] derived a secondary poisoning EQS from the avian toxicity data discussed above. The critical toxicity data selected as the point of departure were for oriental white-backed vultures weighing 4.75 kg and with a daily meat consumption of 341 g per day [19]. An allometric relationship for calculation of daily energy expenditure (DEE) for the closely related Cape vulture (Gyps coprotheres (Komen 1992; DEE [kJ d−1] = 826.7*BW[kg]0.61) produces a value of 2139 kJ d-1, so daily meat consumption of 341 g d−1 corresponds to an energy content of 6272 kJ kg−1. The LD10 and LD50 reported by Green et al. [19] were 74 and 225 µg kg−1 body weight, respectively. EC [14] inferred from the data that vultures were fed with contaminated meat for 2 days, so they divided the total dose by a factor of 2 to produce an LD10 and LD50 of 37 and 112 µg kg−1 body weight per day, respectively.
The energy normalised effect concentration was calculated according to a formula in EC [13]: LCx = LDx × BW/DEE. This produced an LC10 estimate of 0.082 µg kJ−1 diet and an LC50 of 0.249 µg kJ−1 diet. This was then adjusted to account for the half-life of diclofenac in Gyps vultures (16 h) to estimate the effect concentration after 5 days of exposure instead of only 2 days. The resulting LC10 and LC50 were 0.0722 and 0.219 µg kJ−1diet which were then divided by an Assessment Factor of 100 to account for any remaining uncertainties.
The resulting EQS values for relevant food items in aquatic food chains were calculated by multiplying the LC10/100 by the energy content of these food items, as listed in EC [13]. This resulted in EQS values of 3.99 µg kg−1diet for fish, 1.16 µg kg−1diet for bivalves, 3.58 µg kg−1diet for freshwater arthropods, and 2.01 µg kg−1diet for aquatic vegetation. These values are consistent with the EMA [15] recommended maximum concentration of residues of diclofenac in tissue to ensure the safety of vultures of 3 µg kg−1diet.
The lowest diet-based EQS (which was for bivalve molluscs) was then divided by a bioaccumulation factor (BAF) of 216 derived from a field study by Du et al. [11] to produce an EQS in water of 5.4 ng L−1 to protect against avian secondary poisoning. Du et al. [11] studied the levels of several pharmaceuticals in fish and invertebrates in a surface water course in Texas that received treated wastewater effluent, although at the time of the study there was no stream flow upstream of the wastewater discharge, indicating that both the water and biota samples collected were effectively from the undiluted effluent of a wastewater treatment plant. Although mean diclofenac concentrations were relatively consistent on the three consecutive days of the study there was high variability in diclofenac concentrations in replicate samples (79 ± 43, 71 ± 29, and 86 ± 55 ng L−1) and this level of variability was considerably higher than was observed for any of the other pharmaceuticals detected in the study. BAF values of between 140 to 419 L kg−1 with a geometric mean of 216 L kg−1 were reported for several species of molluscs. This included a mean concentration of 13 ± 5.6 µg kg−1 in planorbid snails which equates to a BAF of ~ 173 L kg−1. Diclofenac was also detected in periphyton at a concentration of 3.6 ± 2.3 µg kg−1, which equates to a BAF of ~ 48 L kg−1. However, a study by the same authors at the same sampling site 2 years earlier reported different results [12], even though it was also conducted at a time when there was no upstream flow in the receiving water. This earlier study found lower concentrations of diclofenac in the water (7.6 ng L−1 in a single unreplicated sample) and did not detect any diclofenac in either periphyton or planorbid snails, which were the only biota sampled on that occasion. It is unclear what mechanisms might lead to such large differences in exposure and uptake in snails and periphyton between these two monitoring studies, with one study showing no evidence of uptake and the other showing uptake far greater than reported from the laboratory studies discussed in the next section.
Bioaccumulation and biomagnification of diclofenac
Estimated bioaccumulation
Diclofenac is a monocarboxylic acid with a pKa value of approximately 4, meaning that at pH 4 it will be present in approximately equal amounts in both ionised and unionised forms. At pH 6 approximately 99% of diclofenac will be present in the ionised form, and at pH 7 approximately 99.9% will be ionised. Consequently, in both surface waters and physiological fluids diclofenac will be almost entirely present in its ionised form. Avdeef et al. [1] determined the partition coefficient for the ionised form of diclofenac to be 0.68, which is much lower than the criterion of the log KOW value being greater than (or equal to) three that is considered to indicate a potential for bioaccumulation [13]. There would also be a requirement to derive a EQS to protect against secondary poisoning if the substance has a reliable bioconcentration factor (BCF) or bioaccumulation factor (BAF) greater than 100, or a reliable biomagnification factor (BMF) of greater than one.
Diclofenac binds extensively to blood plasma proteins and lipoproteins [5, 10] with a high affinity and a large capacity for binding. This behaviour dominates the distribution of diclofenac in animals, effectively making blood the most relevant organ for any accumulation. This association with plasma explains the much more mobile and transient nature of accumulated diclofenac compared to typical apolar organic chemicals, and also the fact that analyses of diclofenac in the blood plasma of fish and birds have identified significant levels in some cases. Measurements of diclofenac in blood plasma may, therefore, be considered somewhat analogous to measurements of apolar compounds in lipids, because in both cases, the substances are concentrated in the sampled tissues.
The physicochemical properties of diclofenac indicate that the substance is water soluble, ionised in aqueous environmental media, and unlikely to undergo significant environmental partitioning due to its presence in an anionic form in the environment [18]. Diclofenac may undergo some partitioning to cationic adsorbent phases in the environment, including some clay minerals, such as kaolinite, under some pH conditions. Empirical partitioning data are consistent with indications from physicochemical data that adsorption of diclofenac to both soils and sewage sludges is limited, suggesting a relatively high level of mobility in the environment [4].
Diclofenac environmental behaviour is, therefore, typical of many other human pharmaceuticals. It readily ionises, is water soluble, and shows a limited tendency to partition to environmental matrices, which is unsurprising as these are often clinical design requirements for medicines [6]. Importantly, diclofenac differs from general polar organic chemicals for which log KOW can be used as a surrogate indicator of bioaccumulation and secondary poisoning potential [13].
From the physicochemical properties of diclofenac, as judged by these traditional triggers, we would not expect secondary poisoning risks from diclofenac. However, food chain transfer has been postulated [51] and due to the potential for widespread and relatively consistent emissions there is the potential for concentrations in biota to be close to steady state despite rapid depuration of diclofenac, and any empirical evidence relating to the potential for food chain transfer should, therefore, be considered.
Experimental bioaccumulation data
Several bioaccumulation studies are available for diclofenac (e.g., [3, 7, 11] and [12, 17, 26, 28, 32,33,34,35, 44, 52, 53, 56, 61, 62]). Most of these studies do not comply with European or international guidance [13, 47] for one or more of the following reasons: they did not measure whole body concentrations (only specific organs or tissues were analysed); they were not similar in experimental setup to the internationally accepted OECD guideline 305; or the concentration of the test compound was not measured at several timepoints in exposed organisms.13
Schwaiger et al. [52] exposed rainbow trout (Oncorhynchis mykiss) for 28 days under flow-through conditions to diclofenac (99.9% pure) dissolved in 0.12‰ DMSO at 0, 1, 5, 20, 100, and 500 µg L−1. The exposed fish were 1.8 years (average weight 167.6 ± 20.28 g; average length 25.9 ± 1.04 cm). Concentrations of diclofenac in test water were measured weekly. At the end of the exposure period samples of liver, kidney, spleen, gills, and muscles from five individuals from each test concentration were analysed to determine diclofenac concentrations. A concentration-related accumulation of diclofenac was found in these tissues, with the highest concentrations usually found in the liver, followed by kidney and gills, with only low concentrations found in muscle. BCF values declined with increasing exposure concentration and were 12–2732 in the liver, 5–971 in the kidney, 3–763 in the gills, and 0.3–69 in the muscle. The authors suggest that the reason that BCF values were inversely proportional to exposure concentration may have been due to almost complete saturation of tissues by diclofenac in the highest concentration group. This study did not measure whole body BCF, was not similar in experimental setup to the updated OECD guideline 305 [47], a carrier solvent was used at a higher concentration than permitted by the OECD guideline, and the concentration of the test compound was not measured at several timepoints in fish. The inverse relationship found between exposure concentration and the accumulation of diclofenac, in contrast to most other studies, may have been due to the use of a carrier solvent. Another study on accumulation in mussels [16] also used a carrier solvent and found a similar relationship between exposure concentrations and accumulation of diclofenac. It is not possible to extrapolate reliably from measured concentrations of diclofenac in specific fish tissues to a whole-body concentration, so the exposure of a piscivorous bird that consumes whole fish cannot be calculated. The study was, therefore, not compliant with European requirements [13] and should only be used to estimate a fish BCF in the absence of a compliant study.
In contrast, a subsequent study by Memmert et al. [35] wholly complies with OECD Guideline 305 and European guidance [13]. In this study rainbow trout were exposed under flow-through conditions to radiolabelled diclofenac sodium salt (100% pure), without a solvent, at concentrations of 0, 2.1, and 18.7 µg L−1. Test water samples for diclofenac analysis were taken daily. Four fish were sampled for diclofenac analysis on each of five dates during the accumulation phase and on four dates during the depuration phase. Three different methods were used to calculate the BCF: BCFSS (steady-state BCF, calculated from fish concentrations at the steady-state plateau), BCFK (kinetic BCF, calculated from fitted uptake and depuration rate constants), and BCFL (lipid-normalised BCF, which is the BCFSS normalised to 5% fish lipid content). The BCF values for low (2.1 µg L−1) and high (18.7 µg L−1) exposure were BCFSS: 5 and 3; BCFK: 2 and 2; and BCFL: 9 and 5. Therefore, in contrast to Schwaiger et al. [52], there was no evidence of a large concentration-dependency of the BCF in fish in this study.
With the possible exception of the studies reported by Du et al. [11, 12] which were discussed earlier, there are no relevant and reliable BAF field studies that comply with the EC [13] requirement that biota and water samples originate from the same area sampled at the same time. Memmert et al. [35] calculated the time for diclofenac to reach a stable plateau concentration in fish as approximately 14 days and the depuration half-life as approximately 1 day. Diclofenac depuration is also rapid in mussels [56]. This means that linking diclofenac concentrations in water to concentrations in fish or invertebrates in the field is difficult, especially if diclofenac release rates and concentrations vary over short time periods. Empirical bioaccumulation values determined from the field are, therefore, likely to be of very little use in assessing the bioaccumulation of diclofenac unless concentrations in water are well characterised over time. For example, studies by Brown et al. [3] and Fick et al. [17] are not useful for EQS derivation purposes, because concentrations of diclofenac in surface waters fluctuated with changes in effluent composition, and only fish plasma was analysed for diclofenac in these studies. The same deficiencies are evident in most other studies. Liu et al. [30] report highly variable tissue-specific BAFs for two fish species (Hemicultur leucisculus and Carassius auratus) sampled below WWTPs, while no diclofenac was found in the tissues of carp (Cyprinus carpio) sampled below a WWTP in a second study by the same research group [31]. Huerta et al. [22] report fish homogenate concentrations of diclofenac in Barbus graellsii and Micropterus salmoides from Mediterranean rivers, but no concurrent water samples were taken to allow calculation of bioaccumulation factors (BAFs).
An experimental mesocosm study with zebra mussels (Dreissena polymorpha) reported by Daniele et al. [9] is a more reliable basis for deriving a diclofenac BAF. Continuous flows of diclofenac, at concentrations of 0, 0.05, 0.5, and 5 µg L−1, were introduced into triplicate 20 m × 1 m outdoor stream mesocosms. Mussels were sampled after 3 and 6 months of exposure and BAF values across the different concentrations ranged between 4 and 13. This study complies with European guidance [13] for bioaccumulation assessment, because water and mussels were sampled in the same place and at the same time. The study also does not suffer from the same deficiencies as other field studies with diclofenac, because the exposure concentration was measured at several timepoints. A potential limitation of the study is that mixture effects are emerging as a concern in waterways for certain compounds and these are not considered; however, the available evidence does not support a cause for concern In another study with bivalve molluscs, Swiacka et al. [56] studied the bioconcentration of diclofenac by the marine bivalve Mytilus trossulus and calculated a BCF after 5 days of 9.57 L kg−1, with relatively rapid metabolism and excretion of diclofenac.
Biomagnification and trophic magnification factors
Four studies are available which provide information on the biomagnification of diclofenac into predators from aquatic food items: one experimental study [27], and three reports based on field studies [2, 58, 59]. The studies by Lagesson et al. [27] and Xie et al. [58, 59] considered entirely aquatic food chains in which uptake of diclofenac could occur through bioconcentration for all the organisms assessed. None of these studies showed that biomagnification had occurred.
A more recent study by Bean et al. [2] reports on concentrations of diclofenac in water and in the plasma of various fish species and osprey nestlings (Pandion haliaetus) sampled from three regions of the Delaware River and Bay. Concentrations of diclofenac in water were either non-detectable or below the Method Detection Limit (MDL) of 4.74 ng L−1. Diclofenac was not detected in the plasma of most fish sampled, although some samples did contain relatively high levels of diclofenac. However, diclofenac was detected in the plasma of all osprey nestlings that were sampled in the study, albeit mostly at below the detection limit, which contrasted with the much less frequent detection of diclofenac in fish plasma samples. The authors suggest that during the sampling period ospreys may have had a foraging range that was more extensive than the area sampled for fish. This study does demonstrate that diclofenac can be transferred along food chains but does not provide evidence of biomagnification.
An important complicating factor in defining the most appropriate BAF value to use for diclofenac is that exposure concentrations can be highly variable, both temporally and spatially. Similarly, due to both uptake and depuration rates of diclofenac being very rapid for both invertebrates and vertebrates the concentrations observed in organisms can also be highly variable. This means that obtaining appropriately matched samples of both the exposure medium and the biota from field studies, in which the biota concentrations properly reflect a steady state condition with the surface water concentrations, is extremely difficult. This means that there is a high degree of uncertainty associated with the BAF values calculated from field studies. This issue could be addressed by extensive monitoring of both surface water and biota concentrations within a restricted area over an extended period of time to provide an average BAF value that could adequately represent longer term exposures. However, none of the existing field studies have been conducted over a sufficient period of time, and with sufficient sampling intensity, to achieve this.
Selection of bioaccumulation factor for use in risk assessment
Field-based bioconcentration factors for diclofenac in fish cannot be estimated accurately from any of the existing studies because of variable release rates and a short half-life in fish. Therefore, although field-based studies might provide the most realistic information on bioaccumulation under environmental conditions, none of the available studies include sufficiently detailed information on both the exposure concentrations and body burdens to allow calculation of reliable BCF, BAF, or BMF values. Use of experimentally derived values for fish exposed in the laboratory is, therefore, preferable for this substance, based on the currently available information. The only reliable fish bioconcentration study which complies with European guidance [13] is by Memmert et al. [35]. This study shows that the highest bioconcentration factor in rainbow trout is the lipid normalised BCF value of 9. A reliable study on diclofenac accumulation in mussels [9] provided a very similar, although slightly higher, BAF value of 13. A value of 230 ng L−1 (rounded down from 230.8 ng L−1) results if this BAF is used to derive a water-based EQS, known as the QSwater, sec pois, from the EMA [15] food threshold of 3 µg kg−1diet.
Mesocosm and field studies provide evidence that diclofenac does not biomagnify through aquatic food chains and trophic levels [2, 27, 58, 59], so this process does not need to be taken into account when setting a secondary poisoning EQS to protect top predators (e.g., [25]).
Diclofenac avian secondary poisoning risk characterisation
The measured environmental concentrations of a substance provide context for proposed EQS values by showing whether these values are currently met or exceeded.
Exposure data for diclofenac in European surface waters have been reported in detail by Merrington et al. [36] and summarised by Leverett et al. [29], and these data can also be used to perform an indicative compliance assessment for the QSwater, sec pois. A generic exposure concentration for Europe has been determined from these data as 0.090 µg L−1 and is defined as the unweighted mean of 90th percentile values from all individual countries. The number of samples per country is extremely variable, with over 20,000 samples from France, but fewer than 10 samples from countries, such as Ireland, Denmark, and Estonia. Sufficient data are, therefore, available for a risk characterisation to be undertaken for piscivorous bird species assumed to feed only on fish captured from freshwaters close to a source of diclofenac exposure, such as a WWTP. The overall risk characterisation ratio for Europe, based on an exposure concentration of 0.090 µg L−1, is 16.7 if the QSwater, sec pois is set at 5.4 ng L−1 and 0.39 if it is set at 230 ng L−1. However, this overall estimate of the risk does not consider the differences in exposure levels between different regions. The proportion of samples available from each different regulatory organisation that has reported concentrations of 0.0054 and 0.23 µg L−1 or greater is summarised in Table 2 to provide an indication of the potential levels of compliance with an EQS for diclofenac across different regions. Table 2 also includes information on the population and sampling density to provide an indication of the level of representivity of the data for each of the countries. The overall level of compliance from the entire data set is 35.7% of samples based on a QSwater, sec pois of 0.0054 µg L−1 and 97.1% of samples based on a QSwater, sec pois of 0.23 µg L−1. However, given the very large differences in the extent of monitoring data available for different countries it is not clear to what extent this may reflect the true overall compliance with either of the proposed QSwater, sec pois values.
Results in this data set that were reported as less than the limit of detection were substituted for a value of half of the limit of detection for the purpose of assessing compliance. Consequently, any limits of detection that were 0.011 µg L−1 or higher were substituted with a value that exceeds the QSwater, sec pois of 5.4 ng L−1 recommended by EC [14]. The results of the indicative compliance assessment shown in Table 2 show that several countries (Austria, England, Northern Ireland, Portugal, Slovakia, and Slovenia) have no sites which pass the QSwater, sec pois of 5.4 ng L−1 and in these cases this is due to an inadequate limit of detection for assessing compliance with this QSwater, sec pois. Switzerland also has no sites that comply with this QSwater, sec pois of 5.4 ng L−1. However, in this case the limit of detection is lower than the QSwater, sec pois and all the samples exceed this concentration.
It is not possible to assess potential compliance against the EQS derived for the food of waterbirds due to a lack of widespread monitoring data for concentrations of diclofenac in fish and invertebrates in European waters. Data on this would provide a more reliable indication of the potential risk to top predators if based on suitable regular monitoring data.
EC [14] cite six papers in which measurements of diclofenac in biota are reported, focussing particularly on molluscs. Mussels (Mytilus galloprovincialis) collected from Portonovo Bay in the Central Adriatic Sea contained diclofenac concentrations of < 1, 16.11, and < 1 µg/kg dwt in July, August, and September 2014, respectively [38, 39] which equates to concentrations of < 1, 1.29, and < 1 µg/kg wwt according to the conversion factor for bivalves in EC [13]. In a subsequent study Mezzelani et al. [40] sampled M. galloprovincialis from six sites in the Tyrrhenian Sea and eight sites in the Adriatic Sea over up to four consecutive years (2014–2017) and, at some sites, during different seasons. Across these sites there were a total of 61 sampling dates, with five replicate samples taken on each sampling date. Diclofenac was reported as below the limit of detection of 1.4 µg/kg dw in 29 of these sets of samples. Concentrations in the remaining 32 sets of samples varied, with a mean and standard deviation across all samples of 59.96 ± 68.13 µg/kg dw, which equates to concentrations of 4.8 ± 5.45 µg/kg wwt according to the conversion factor for bivalves in EC [13]. The mean coefficient of variation for diclofenac concentration across all sites was 107% so there was very high variability within samples from the same site taken on the same date. This is hard to explain when each mean and standard deviation for a site and date was calculated from five replicate samples each containing five homogenised mussels.
In China, Xie et al. [58] sampled phytoplankton, zooplankton, zoobenthos, and fish from 16 sites in Lake Taihu and reported concentrations of diclofenac in molluscs from below the limit of detection (0.06 µg/kg dwt) to 11.7 µg/kg dwt (equivalent to 0.94 µg/kg wwt). In a subsequent study on the same lake [59] they reported a range of diclofenac in molluscs from below the limit of detection to 47 µg/kg dwt (equivalent to 3.76 µg/kg wwt). Yang et al. [60] sampled biota from nine sites in the New Qinhuai River, the Qinhuai River, and a section of the Yangtze River and reported mean and standard deviation concentrations in molluscs of 3.4 ± 0.2 µg/kg wwt in the New Quinhuai River, below the limit of detection of 0.18 µg/kg wwt in the Quinhuai River, and 2.3 ± 1.2 µg/kg wwt in the Yangtze River.
Finally, in the USA, Du et al. [11] reported mean concentrations of diclofenac in different species of molluscs sampled from a wastewater stream in Texas of between 11 and 33 ± 6.7 µg/kg dwt/fwt, although molluscs sampled from the same site 2 years previously [12] did not contain diclofenac concentrations above the limit of detection (0.45 µg/kg).
These studies reviewed by EC (2021) suggest that a diclofenac biota standard of 3 µg/kg wwt in food would be exceeded in molluscs at some sites on some occasions, particularly if the site is heavily polluted. However, most mollusc samples from the small number of studies reviewed by EC [14] contained diclofenac concentrations that fall below the 3 µg/kg wwt threshold proposed by EMA [15]. Data from unbiased biota monitoring programmes are required to assess the likely EQS exceedance rate of biota-based standards for diclofenac across Europe.
The criteria on which the requirement to derive an EQS for secondary poisoning are based depend on the possibility of accumulation, as indicated by either empirical evidence of bioaccumulation or biomagnification, or a high log KOW value, or evidence that the substance is highly toxic to either birds or mammals. In the case of diclofenac, toxicity data for vultures indicates a high level of toxicity to at least some bird species, although the substance does not appear to meet criteria based on bioaccumulation, except in one field bioaccumulation study by Du et al. [11].
Exposure of wildlife via the aquatic food chain is the only directly relevant environmental exposure resulting from human pharmaceutical uses of diclofenac across Europe. This is because the drug is excreted in either urine or bile and the parent substance and its metabolites are, therefore, released into the environment via wastewater effluents. There could still potentially be some limited veterinary sources of diclofenac into the environment, but they are unlikely to travel along direct exposure pathways into the aquatic environment, and, therefore, could not be controlled through the implementation of an EQS for surface waters. Other potential sources from human pharmaceutical uses, such as improper disposal or wash-off of topical applications are likely to share the same route of exposure to the aquatic environment via wastewater treatment plants. The generic exposure concentration used in this paper is a reasonable worst-case regional concentration for Europe, because it has been calculated as the mean of the 90th percentile concentrations from several different European countries. However, higher concentrations could be encountered locally, where there are specific emission sources, such as major hospitals, large numbers of care homes, limited dilution of wastewater effluents into receiving waters, or diclofenac production facilities. Country-specific assessments of potential compliance with the EQS derived in the present study suggest that levels of non-compliance could be relatively high in some regions, such as Germany and Flanders, whereas potential non-compliance in France, the country with the most extensive monitoring data set for diclofenac, is less than 5%.
The region-specific risk characterisation is based on a face value comparison of the concentrations of diclofenac reported in individual spot samples against the proposed EQS for diclofenac in the water column expressed as an annual average. Furthermore, the extent to which region-specific monitoring has been targeted at those sites most likely to be receiving diclofenac exposures or has been aimed at providing an overall indication of country-wide exposures is unknown and likely to vary between different regions. This means that making robust comparisons of the potential compliance situation between different regions is difficult. The relatively transient nature of diclofenac concentrations in biota, which reflects both variability in water column concentrations and rates of metabolism and excretion, means that high concentrations in fish and molluscs are unlikely to be maintained over longer exposure periods unless releases to water are continuous and contain consistently high diclofenac concentrations. A more reliable indication of the potential for secondary poisoning would be via monitoring of concentrations in fish and molluscs in aquatic ecosystems.
The cumulative frequency distributions of the reported monitoring data, based on individual sample results, are shown in Fig. 2 for Flanders, France, and Germany. The EC [14] and our proposed thresholds for diclofenac derived for the protection of birds of, respectively, 5.4 and 230 ng L−1 are also indicated for reference. This provisional compliance assessment is at best indicative as it is based on a face value assessment against individual samples rather than annual average concentrations calculated from regular samples collected over the course of a year or more. The data set for Flanders includes 1025 samples covering 84 sites collected over a 5-year period. The data set for France includes 21,472 samples covering 1827 sites collected over a 3-year period. The data set for Germany includes 233 samples covering 24 sites collected over a 2-year period. All samples from all three of these countries were reported as being from routine monitoring and were collected from receiving freshwaters. Regulatory monitoring programmes are routinely targeted towards the most potentially problematic sites, and this may be the situation with the data sets for Flanders and Germany, both of which have a much lower number of sampling sites with higher diclofenac concentrations than in the data set from France.
Cumulative frequency distributions of diclofenac concentrations in samples from Flanders (light blue), France (mid blue), and Germany (dark blue) (data from [29]. The EQS for secondary poisoning derived by the EC [14] is indicated by the vertical black dotted line, and the EQS derived in the present study is indicated by the vertical black dashed line
The relatively rapid uptake and excretion of diclofenac by fish [35] means that fish of very different sizes, and potentially also trophic levels, are likely to contain similar concentrations of diclofenac. Xie et al. [58] found no significant relationship between trophic level and diclofenac concentrations in biota, and Xie et al. [59] found a significantly negative relationship between trophic level and diclofenac concentrations in biota. This contrasts with many bioaccumulating chemicals for which concentrations in fish tend to increase with increasing fish size. This is because larger piscivorous fish feed on smaller fish and so non-polar chemicals biomagnify along food chains because of lipophilicity and relatively low excretion rates. A consequence of this is that exposure concentrations of diclofenac via food at potentially different avian trophic levels are likely to be very similar, although ingestion rates may differ due to differing feeding rates.
The ionisable nature of many pharmaceuticals means that approaches for assessing bioaccumulation based on KOW are inappropriate. These approaches were developed for nonpolar organic chemicals and rely on the hydrophobicity of a substance and its tendency to partition into lipid phases from aqueous environments. Although the predicted partition coefficients for many pharmaceuticals in their unionised forms are relatively high (e.g., 4.5 for diclofenac), the unionised form of the chemical is not relevant to its fate in aqueous environmental systems. Furthermore, the tendency of diclofenac to bind to plasma proteins indicates a very different behaviour when compared to nonpolar chemicals once it has been bioaccumulated by organisms. To avoid these problems associated with KOW-based approaches to bioaccumulation for pharmaceuticals, such as diclofenac, it is important that risk assessment focuses on empirical data rather than estimation methods.
Data on concentrations of diclofenac in European surface waters suggest that there are potential risks to waterbirds. It would, therefore, be prudent to monitor diclofenac concentrations in water and biota in those surface waters known to receive high concentrations of diclofenac from WWTPs, as well as at appropriate reference sites which are not directly impacted by major local wastewater discharges. Monitoring of locations where waterbirds gather would also be appropriate, and any such locations that are close to significant sources of exposure (e.g., urban areas) may be a particular priority for monitoring. The concentrations of diclofenac in waterbirds can then be related to the population dynamics of piscivorous bird populations in the vicinity of these discharges to determine whether there is any evidence for adverse effects. This should include monitoring of diclofenac concentrations in whole fish and other prey items, so that a “food basket” approach can be used to assess potential secondary poisoning risks to relevant predatory vertebrates. Monitoring of predators would necessarily be non-destructive, and limited to the collection of blood plasma samples from relevant avian predators. This would enable a qualitative assessment to be made of the potential for exposure of these kinds of species via their food although as the EQS is set as a concentration in the food of predators this would not be a suitable approach for compliance assessment.
Availability of data and materials
The data sets used and/or analysed during the current study are available from the corresponding author on reasonable request.
Abbreviations
- EQS:
-
Environmental quality standard
- WFD:
-
Water framework directive
- EC:
-
European Commission
- AA EQS:
-
Annual average environmental standard
- WWTP:
-
Waste water treatment plant
- LDn:
-
Lethal dose for n percentage of the population
- CI:
-
Confidence interval
- ROS:
-
Reactive oxygen species
- DEE:
-
Daily energy expenditure
- BW:
-
Body weight
- LCn:
-
Lethal concentration for n percentage of the population
- BAF:
-
Bioaccumulation factor
- pKa:
-
Acid dissociation constant
- BCF:
-
Bioconcentration factor
- BMF:
-
Biomagnification factor
- OECD:
-
Organisation for economic cooperation and development
- DMSO:
-
Dimethyl sulfoxide
- MDL:
-
Method detection limit
- QSwater, sec pois :
-
Quality standard for water to protect against secondary poisoning
References
Avdeef A, Box KJ, Comer JEA, Hibbert C, Tam KY (1998) pH-Metric logP 10. Determination of liposomal membrane-water partition coefficients of ionizable drugs. Pharm Res 15:209–215
Bean TG, Rattner BA, Lazarus RS, Day DD, Burket SR, Brooks BW, Haddad SP, Bowerman WW (2018) Pharmaceuticals in water, fish and osprey nestlings in Delaware River and Bay. Environ Pollut 232:533–545
Brown JN, Paxeus N, Forlin L, Larsson DG (2007) Variations in bioconcentration of human pharmaceuticals from sewage effluents into fish blood plasma. Environ Toxicol Pharmacol 24:267–274
Carvalho RN, Marinov D, Loos R, Napierska D, Chirico N, Lettieri T. 2016. Monitoring-based Exercise: Second Review of the Priority Substances List under the Water Framework Directive. Monitoring-based exercise. Joint Research Centre, Institute for Environment and Sustainability, Water Resources Unit TP 121, Ispra, Italy. Pp 301.
Chamouard J, Barre J, Urien S, Houin G, Tillement J (1985) Diclofenac binding to albumin and lipoproteins in human serum. Biochem Pharmacol 34:1695–1700
Crane M, Watts CW, Boucard T (2006) Chronic aquatic environmental risks from exposure to human pharmaceuticals. Sci Total Environ 367:23–41
Cuklev F, Kristiansson E, Fick J, Asker N, Forlin L, Larsson DGJ (2011) Diclofenac in fish: blood plasma levels similar to human therapeutic levels affect global hepatic gene expression. Environ Toxicol Chem 30:2126–2134
Cuthbert R, Parry-Jones J, Green RE, Pain DJ (2007) NSAIDs and scavenging birds: potential impacts beyond Asia's critically endangered vultures. Biol Lett 3:90–93
Daniele G, Fieu M, Joachim S, James-Casas A, Andres S, Baudoin P, Bonnard M, Bonnard I, Geffard A, Vulliet E (2016) Development of a multi-residue analysis of diclofenac and some transformation products in bivalves using QuEChERS extraction and liquid chromatography–tandem mass spectrometry. Application to samples from mesocosm studies. Talanta 155:1–7
Davies NM, Anderson KE (1997) Clinical pharmacokinetics of diclofenac. Therapeutic insights and pitfalls. Clin Pharmacokinet 33(3):184–213. https://doi.org/10.2165/00003088-199733030-00003
Du B, Haddard S, Luek A, Scott W, Saari G, Kristofco L, Connors K, Rash C, Rasmussen J, Chambliss C, Brooks B (2014) Bioaccumulation and trophic dilution of human pharmaceuticals across trophic positions of an effluent-dependent wadeable stream. Philos Trans R Soc B Biol Sci 369:1656
Du B, Haddard S, Scott W, Chambliss C, Brooks B (2015) Pharmaceutical bioaccumulation by periphyton and snails in an effluent-dependent stream during an extreme drought. Chemosphere 119:927–934
EC (European Commission). 2018. Common Implementation Strategy for the Water Framework Directive (2000/60/EC) Guidance Document No. 27 Revised Technical Guidance for Deriving Environmental Quality Standards. European Communities
European Commission (EC) (2021) EQS Datasheet: Diclofenac (Final Draft). Brussels, Belgium. https://circabc.europa.eu/ui/group/9ab5926d-bed4-4322-9aa7-9964bbe8312d/library/599f9cfd-2ba2-4d6f-a693-1f3b47c1fc0a/details. Accessed 14 Feb 22
EMA (2014) On the risk to vultures and other necrophagous bird populations in the European Union in connection with the use of veterinary medicinal products containing the substance diclofenac. 11 December 2014 EMA/CVMP/721170/2014, Veterinary Medicines Division, CVMP assessment report under Article 30(3) of Regulation (EC) No 726/2004. European Medicines Agency. London, UK
Ericson H, Thorsen G, Kumblad L (2010) Physiological effects of diclofenac, ibuprofen and propranolol on Baltic Sea blue mussels. Aquat Toxicol 99:223–231
Fick J, Lindberg RH, Parkkonen J, Arvidsson B, Tysklind M, Larsson DG (2010) Therapeutic levels of levonorgestrel detected in blood plasma of fish: results from screening rainbow trout exposed to treated sewage effluents. Environ Sci Technol 44:2661–2666
Fini A, Fazio G, Gonzalez-Rodriguez M, Cavallari C, Passerini N, Rodriguez L (1999) Formation of ion-pairs in aqueous solutions of diclofenac salts. Int J Pharm 187:163–173
Green RE, Taggart MA, Senacha KR, Raghavan B, Pain DJ, Jhala Y, Cuthbert R (2007) Rate of decline of the Oriental white-backed vulture population in India estimated from a survey of diclofenac residues in carcasses of ungulates. PLoS ONE 2:e686
Hassan I, Duncan N, Adawaren E, Naidoo V (2018) Could the environmental toxicity of diclofenac in vultures been predictable if preclinical testing methodology were applied? Environ Toxicol Pharmacol 64:181–186
Hickey EJ, Raje RR, Reid VE, Gross SM, Ray SD (2001) Diclofenac induced in vivo nephrotoxicity may involve oxidative stress-mediated massive genomic DNA fragmentation and apoptotic cell death. Free Radic Biol Med 31:139–152
Huerta B, Jakimska A, Gros M, Rodríguez-Mozaz S, Barceló D (2013) Analysis of multi-class pharmaceuticals in fish tissues by ultra-high-performance liquid chromatography tandem mass spectrometry. J Chromatogr A 1288:63–72
Hussain I, Khan MZ, Khan A, Javed I, Saleemi MK (2008) Toxicological effects of diclofenac in four avian species. Avian Pathol 37(3):315–321. https://doi.org/10.1080/03079450802056439
Hutchinson TH, Madden JC, Naidoo V, Walker CH (2014) Comparative metabolism as a key driver of wildlife species sensitivity to human and veterinary pharmaceuticals. Phil Trans R Soc B 369:20130583. https://doi.org/10.1098/rstb.2013.0583
Joachim S, Daniele G, Vulliet E, Beaudouin R, Tebby C, Bado-nilles A, Baudoin P, Palluel O, Turies C, Geffard A, Bonnard M, Betoulle S, James Casas A, Andres S, Porcher JM. 2017. DOREMIPHARM Project. Development of robust tools for the assessment of pharmaceuticals in aquatic media. Task 2: Mesocosms studies, Deliverable 2.2: Bottom-up and top-down effects in a diclofenac contaminated model ecosystem. INERIS, ANSM. Report No: DRC-17-129627-00897A. pp. 87
Kallio JM, Lahti M, Oikari A, Kronberg L (2010) Metabolites of the aquatic pollutant diclofenac in fish bile. Environ Sci Tech 44:7213–7219
Lagesson A, Fahlman J, Brodin T, Fick J, Jonsson M, Bystrom P, Klaminder J (2016) Bioaccumulation of five pharmaceuticals at multiple trophic levels in an aquatic food web—insights from a field experiment. Sci Total Environ 568:208–215
Lahti M, Brozinski JM, Jylha A, Kronberg L, Oikari A (2011) Uptake from water, biotransformation, and biliary excretion of pharmaceuticals by rainbow trout. Environ Toxicol Chem 30:1403–1411
Leverett D, Crane M, Merrington G, Ryan J, Wilson I (2021) Environmental quality standards for diclofenac derived under the European Water Framework Directive: 1. Aquatic organisms. Environ Sci Europe 33:133. https://doi.org/10.1186/s12302-021-00574-z
Liu J, Lu G, Xie Z, Zhang Z, Li S, Yan Z (2015) Occurrence, bioaccumulation and risk assessment of lipophilic pharmaceutically active compounds in the downstream rivers of sewage treatment plants. Sci Total Environ 511:54–62
Liu J, Dan X, Lu G, Shen J, Wu D, Yan Z (2018) Investigation of pharmaceutically active compounds in an urban receiving water: occurrence, fate and environmental risk assessment. Ecotoxicol Environ Saf 154:214–220
Lu G, Xie Z, Zhang Z (2018) Effects of dissolved organic matter, feeding, and water flow on the bioconcentration of diclofenac in crucian carp (Carassius auratus). Environ Sci Pollut Res 25:7776–7784
McRae NK, Glover CN, Burket SR, Brooks BW, Saw S (2018) Acute exposure to an environmentally relevant concentration of diclofenac elicits oxidative stress in the culturally important galaxiid fish Galaxias maculatus. Environ Toxicol Chem 37:224–235
Mehinto AC, Hill EM, Tyler CR (2010) Uptake and biological effects of environmentally relevant concentrations of the nonsteroidal anti-inflammatory pharmaceutical diclofenac in rainbow trout (Oncorhynchus mykiss). Environ Sci Technol 44:2176–2182
Memmert U, Peither A, Burri R, Weber K, Schmidt T, Sumpter JP, Hartmann A (2013) Diclofenac: new data on chronic toxicity and bioconcentration in fish. Environ Toxicol Chem 32(2):442–452
Merrington G, Peters A, Wilson I, Gardner M, Ryan J, Adams W (2021) Using water framework directive watch list data sets to estimate europe-wide chemical exposures and potential aquatic risks: representativity and uncertainty? Environ Toxicol Chem 40(9):2386–2393
Meteyer CU, Rideout BA, Gilbert M, Shivaprasad HL, Oaks JL (2005) Pathology and proposed pathophysiology of diclofenac poisoning in free-living and experimentally exposed oriental white-backed vultures (Gyps bengalensis). J Wildl Dis 41(4):707–716
Mezzelani M, Gorbi S, Da Ros Z, Fattorini D, d’Errico G, Milan M, Bargelloni L, Regoli F (2016) Ecotoxicological potential of non-steroidal anti-inflammatory drugs (NSAIDs) in marine organisms: bioavailability, biomarkers and natural occurrence in Mytilus galloprovincialis. Mar Environ Res 121:31–39
Mezzelani M, Gorbi S, Fattorini D, d’Errico G, Benedetti M, Milan M, Bargelloni L, Regoli F (2016) Transcriptional and cellular effects of non-steroidal anti-inflammatory drugs (NSAIDs) in experimentally exposed mussels, Mytilus galloprovincialis. Aquat Toxicol 180:306–319
Mezzelani M, Fattorini D, Gorbi S, Nigro M, Regoli F (2020) Human pharmaceuticals in marine mussels: evidence of sneaky environmental hazard along Italian coasts. Mar Environ Res 162:105137. https://doi.org/10.1016/j.marenvres.2020.105137
Naidoo V, Swan GE (2009) Diclofenac toxicity in Gyps vulture is associated with decreased uric acid excretion and not renal portal vasoconstriction. Comparat Biochem Physiol Part C 149:269–274
Naidoo V, Duncan N, Bekker L, Swan G (2007) Validating the domestic fowl as a model to investigate the pathophysiology of diclofenac in Gyps vultures. Environ Toxicol Pharmacol 24:260–266
Naidoo V, Wolter K, Cuthbert R, Duncan N (2009) Veterinary diclofenac threatens Africa’s endangered vulture species. Regul Toxicol Pharmacol 53:205–208
Naslund J, Fick J, Asker N, Ekman E, Larsson DGJ, Norrgren L (2017) Diclofenac affects kidney histology in the three-spined stickleback (Gasterosteus aculeatus) at low μg/L concentrations. Aquat Toxicol 189:87–96
Oaks JL, Gilbert M, Virani MZ, Watson RT, Meteyer CU, Rideout BA, Shivaprasad HL, Ahmed S, Chaudhry MJI, Arshad M, Mahmood S, Ali A, Khan AA (2004) Diclofenac residues as the cause of vulture population decline in Pakistan. Nature 427:630–633
Office of National Statistics. 2022. Estimates of the population for the UK, England and Wales, Scotland and Northern Ireland. https://www.ons.gov.uk/peoplepopulationandcommunity/populationandmigration/populationestimates/datasets/populationestimatesforukenglandandwalesscotlandandnorthernireland. Accessed Jan 2022
Organisation for Economic Cooperation and Development (OECD) (2012) Test No. 305: bioaccumulation in fish: aqueous and dietary exposure, p 72. ISBN: 9789264185296
Paul-Murphy J, Ludders JW (2001) Avian analgesia. Veterinary Clinics of North America: Exotic Animal Practice 4:35–45
Prakash Reddy NC, Anjaneyulu Y, Sivasankari B, Ananda Rao K (2006) Comparative toxicity studies in birds using nimesulide and diclofenac sodium. Environ Toxicol Pharmacol 22(2):142–147. https://doi.org/10.1016/j.etap.2006.02.004
Rattner BA, Whitehead MA, Gasper G, Meteyer CU, Link WA, Taggart MA, Meharg AA, Pattee OH, Pain DJ (2008) Apparent tolerance of turkey vultures (Cathartes aura) to the non-steroidal anti-inflammatory drug diclofenac. Environ Toxicol Chem 27:2341–2345
Sathishkumar P, Meena RAA, Palanisami T, Ashokkumar V, Palvannan T, Gu FL (2020) Occurrence, interactive effects and ecological risk of diclofenac in environmental compartments and biota—a review. Sci Total Environ 698:134057. https://doi.org/10.1016/j.scitotenv.2019.134057
Schwaiger J, Ferling H, Mallow U, Wintermayr H, Negele RD (2004) Toxic effects of the non-steroidal anti-inflammatory drug diclofenac: Part I: histopathological alterations and bioaccumulation in rainbow trout. Aquatic Tox 68:141–150
Schwarz S, Schmieg H, Scheurer M, Koehler HR, Triebskorn R (2017) Effects of NSAID diclofenac on the survival, health and behaviour of embryonic and juvenile brown trout Salmo trutta f. fario. Sci Total Environ 607–608:1026–1036
Sharma AK, Saini M, Singh SD, Prakash V, Das A, Dasan RB, Pandey S, Bohara D, Galligan TH, Green RE, Knopp D, Cuthbert RJ (2014) Diclofenac is toxic to the Steppe Eagle Aquila nipalensis: widening the diversity of raptors threatened by NSAID misuse in South Asia. Bird Conserv Int 24:282–286
Swan GE, Cuthbert R, Quevedo M, Green RE, Pain DJ, Bartels P, Cunningham AA, Duncan N, Meharg AA, Oaks JL, Parry-Jones J, Shultz S, Taggart MA, Verdoorn G, Wolter K (2006) Toxicity of diclofenac to Gyps vultures. Biol Letters 2:279–282
Swiacka K, Szaniawska A, Caban M (2019) Evaluation of bioconcentration and metabolism of diclofenac in mussels Mytilus trossulus - laboratory study. Mar Pollut Bull 141:249–255
The World Bank. 2022. Population density (people per sq. Km of land area)—European Union. https://api.worldbank.org/v2/en/indicator/EN.POP.DNST?downloadformat=excel. Accessed Jan 2022.
Xie Z, Lu G, Liu J, Yan Z, Ma B, Zhang Z, Chen W (2015) Occurrence, bioaccumulation, and trophic magnification of pharmaceutically active compounds in Taihu Lake, China. Chemosphere 138:140–147
Xie Z, Lu G, Yan Z, Liu J, Wang P, Wang Y (2017) Bioaccumulation and trophic transfer of pharmaceuticals in food webs from a large freshwater lake. Environ Pollut 222:356–366
Yang H, Lu G, Yan Z, Liu J, Dong H, Bao X, Zhang X, Sun Y (2020) Residues, bioaccumulation, and trophic transfer of pharmaceuticals and personal care products in highly urbanized rivers affected by water diversion. J Hazard Mater 391:122245. https://doi.org/10.1016/j.jhazmat.2020.122245
Zhang X, Oakes KD, Cui S, Bragg L, Servos MR, Pawliszyn J (2010) Tissue-specific in vivo bioconcentration of pharmaceuticals in rainbow trout (Oncorhynchus mykiss) using space-resolved solid-phase microextraction. Environ Sci Technol 44:3417–3422
Zhao JL, Furlong ET, Schoenfuss HL, Kolpin DW, Bird KL, Feifarek DJ, Schwab EA, Ying GG (2017) Uptake and disposition of select pharmaceuticals by bluegill exposed at constant concentrations in a flow-through aquatic exposure system. Environ Sci Technol 51:4434–4444
Acknowledgements
The authors would like to acknowledge the input and editorial contributions of James P Masterson and Dr David Urquhart, GSK Consumer Healthcare SARL.
Funding
The funding for this article was provided by GSK Consumer Healthcare SARL.
Author information
Authors and Affiliations
Contributions
Each author made substantial contributions to the conception, analysis, and interpretation of data and assisted in drafting the work. Each author approved the submitted version (and any substantially modified version that involves the author's contribution to the study) and agrees both to be personally accountable for the author's own contributions and to ensure that questions related to the accuracy or integrity of any part of the work, even ones in which the author was not personally involved, are appropriately investigated, resolved, and the resolution documented in the literature. All authors read and approved the final manuscript.
Corresponding author
Ethics declarations
Ethics approval and consent to participate
Not applicable.
Consent for publication
Not applicable.
Competing interests
Adam Peters and Graham Merrington are employees of a consultancy (wca Environment Ltd) which works for companies on projects focusing on the environmental risk assessment of chemicals. Mark Crane is a partner in a consultancy (AG-HERA) which undertakes similar work. Jim Ryan works for a company (GSK) that produces diclofenac, sells products containing diclofenac, and submits environmental risk assessments for pharmaceuticals to regulatory authorities.
Additional information
Publisher's Note
Springer Nature remains neutral with regard to jurisdictional claims in published maps and institutional affiliations.
Rights and permissions
Open Access This article is licensed under a Creative Commons Attribution 4.0 International License, which permits use, sharing, adaptation, distribution and reproduction in any medium or format, as long as you give appropriate credit to the original author(s) and the source, provide a link to the Creative Commons licence, and indicate if changes were made. The images or other third party material in this article are included in the article's Creative Commons licence, unless indicated otherwise in a credit line to the material. If material is not included in the article's Creative Commons licence and your intended use is not permitted by statutory regulation or exceeds the permitted use, you will need to obtain permission directly from the copyright holder. To view a copy of this licence, visit http://creativecommons.org/licenses/by/4.0/.
About this article
Cite this article
Peters, A., Crane, M., Merrington, G. et al. Environmental quality standards for diclofenac derived under the European water framework directive: 2. Avian secondary poisoning. Environ Sci Eur 34, 28 (2022). https://doi.org/10.1186/s12302-022-00601-7
Received:
Accepted:
Published:
DOI: https://doi.org/10.1186/s12302-022-00601-7

